Reflectivity of the Subaru Telescope's Mirrors
Reflectivity of the Primary Mirror (M1)
The Subaru Telescope primary mirror was recoated with Aluminum on August 4, 2022.
This was the ninth coating work from its arrival at Maunakea, Hawaii in 1998, and was about five years from the previous recoating on October 10, 2017.
After the recoating, we measured the reflectivity outside of the vacuum chamber using a portable measuring instrument named Subaru Portable Spectrophotomer (sps) on August 8, 2022.
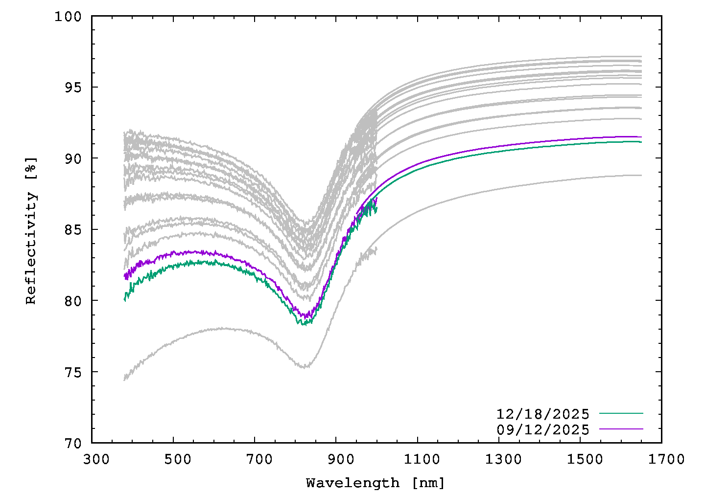
The reflectivity of the primary mirror has been measured in-situ on the telescope since October 10, 2017, by using SPS.
The following figure shows the time variation of the reflectivity of the primary mirror.
Plain text data are available as below.
- Subaru_M1_R_20251218.txt : 1232 days after
-
Subaru_M1_R_20250912.txt : 1135 days after
-
Subaru_M1_R_20250425.txt : 995 days after
- Subaru_M1_R_20241227.txt : 876 days after, after Kilauea eruption start from 12/23/2024
- Subaru_M1_R_20241011.txt : 799 days after, after tropical storm Hone on 8/24-25/2024
- Subaru_M1_R_20240802.txt : 729 days after
- Subaru_M1_R_20240524.txt : 659 days after
- Subaru_M1_R_20240305.txt : 579 days after
- Subaru_M1_R_20231005.txt : 427 days after
-
Subaru_M1_R_20230802.txt : 363 days after, after tropical storm Calvin on 7/18-19/2023
-
Subaru_M1_R_20230714.txt : 344 days after
- Subaru_M1_R_20230607.txt : 307 days after
- Subaru_M1_R_20230330.txt : 238 days after
- Subaru_M1_R_20230111.txt : 160 days after, after Kilauea eruption start from 1/5/2023
- Subaru_M1_R_20221202.txt : 120 days after, after Maunaloa eruption start from 11/27/2022
- Subaru_M1_R_20221013.txt : 70 days after
-
Subaru_M1_R_20220808.txt : 4 days after 9th coating on 8/4/2022
-
Subaru_M1_R_20220715.txt : 1729 days after 8th coating, and just before 9th coating on 8/4/2022
- Subaru_M1_R_20220527.txt : 1680 days after
- Subaru_M1_R_20220405.txt : 1628 days after
-
Subaru_M1_R_20220121.txt : 1554 days after
-
Subaru_M1_R_20211020.txt : 1461 days after
- Subaru_M1_R_20210811.txt : 1391 days after
- Subaru_M1_R_20210121.txt : 1189 days after
- Subaru_M1_R_20201209.txt : 1146 days after
- Subaru_M1_R_20200925.txt : 1071 days after
- Subaru_M1_R_20200728.txt : 1012 days after
- Subaru_M1_R_20200610.txt : 964 days after
-
Subaru_M1_R_20200219.txt : 852 days after
-
Subaru_M1_R_20191218.txt : 789 days after
- Subaru_M1_R_20191122.txt : 763 days after
- Subaru_M1_R_20191007.txt : 717 days after
- Subaru_M1_R_20190909.txt : 689 days after
- Subaru_M1_R_20190605.txt : 593 days after
- Subaru_M1_R_20190426-2.txt : 553 days after, post CO2 cleaning
- Subaru_M1_R_20190426.txt : 553 days after, pre CO2 cleaning
-
Subaru_M1_R_20190311.txt : 507 days after
-
Subaru_M1_R_20190208.txt : 476 days after, post CO2 cleaning
- Subaru_M1_R_20190201.txt : 469 days after, post CO2 cleaning
- Subaru_M1_R_20190131.txt : 468 days after, pre CO2 cleaning
- Subaru_M1_R_20181221.txt : 427 days after
- Subaru_M1_R_20181107.txt : 383 days after
- Subaru_M1_R_20181012.txt : 357 days after, after hurricane Lane on 8/25-26/2018
- Subaru_M1_R_20180815.txt : 299 days after. Data between 950 nm and 1650 nm are also available (SPS-XWW).
-
Subaru_M1_R_20180723.txt : 276 days after
-
Subaru_M1_R_20180621.txt : 244 days after
- Subaru_M1_R_20180521.txt : 213 days after, after Kilauea explosive eruption on 5/17/2018
- Subaru_M1_R_20180419.txt : 181 days after, post CO2 cleaning
- Subaru_M1_R_20180418.txt : 180 days after, pre CO2 cleaning
- Subaru_M1_R_20180307.txt : 138 days after
- Subaru_M1_R_20180129.txt : 101 days after
- Subaru_M1_R_20171023.txt : 3 days after 8th coating on 10/10/2017
- Subaru_M1_R_20171010.txt : Before 8th coating, 1517 days after 7th coating on 8/15/2013
A number of microscope slide glasses/mirror blanks were placed in the vacuum chamber and coated with Aluminum together with the primary mirror to make "witness samples."
The reflectivity of a witness sample for 9th coating was measured with a Hitachi U-4001 spectrophotometer at the Base Facility in Hilo on August 9-10, 2022, and that for 8th coating was measured on December 26, 2017.
The followings are the plain text data for these witness samples.
(Note: "witness sample" is just a witness and NOT the representing value of the primary mirror.
Values from witness samples may contain systematic errors.)
Reflectivity of the Infrared Secondary Mirror (IR-M2)
The Subaru Telescope infrared secondary mirror (IR-M2) was recoated with Silver at the Subaru Telescope summit facility on November 7, 2019.
This was the fourth coating work, and was about eleven years from the previous recoating on August 22, 2008.
We have measured the IR-M2 reflectivity with SPS-XWW and IR-M2 Jig since November 5, 2018.
Plain text data is also available as below.
-
Subaru_IR-M2_R_20250915.txt : 2139 days after
-
Subaru_IR-M2_R_20241204.txt : 1854 days after
- Subaru_IR-M2_R_20241024.txt : 1813 days after
- Subaru_IR-M2_R_20240703.txt : 1700 days after
- Subaru_IR-M2_R_20240507.txt : 1643 days after
- Subaru_IR-M2_R_20240315.txt : 1590 days after
- Subaru_IR-M2_R_20230720.txt : 1351 days after
- Subaru_IR-M2_R_20230519.txt : 1289 days after
-
Subaru_IR-M2_R_20230412.txt : 1252 days after
-
Subaru_IR-M2_R_20230109.txt : 1159 days after, after Kilauea eruption start from 1/5/2023
- Subaru_IR-M2_R_20221214.txt : 1133 days after, after Maunaloa eruption start from 11/27/2022
- Subaru_IR-M2_R_20220922.txt : 1050 days after
- Subaru_IR-M2_R_20220422.txt : 897 days after
- Subaru_IR-M2_R_20211028.txt : 721 days after
- Subaru_IR-M2_R_20210813.txt : 645 days after
- Subaru_IR-M2_R_20210111.txt : 431 days after
-
Subaru_IR-M2_R_20201210.txt : 399 days after
-
Subaru_IR-M2_R_20201012.txt : 340 days after
- Subaru_IR-M2_R_20200813.txt : 280 days after
- Subaru_IR-M2_R_20200622.txt : 228 days after
- Subaru_IR-M2_R_20200527.txt : 202 days after
- Subaru_IR-M2_R_20200219.txt : 104 days after
- Subaru_IR-M2_R_20200121.txt : 75 days after
- Subaru_IR-M2_R_20191220.txt : 43 days after
- Subaru_IR-M2_R_20191127.txt : 20 days after 4th coating on 11/7/2019
- Witness_Sample_IR-M2_R_20191112.txt : measured with SPS
-
Witness_Sample_IR-M2_R_20191111.txt : 300-2600 nm, measured with U-4001
-
Subaru_IR-M2_R_20191105.txt : 4092 days after
- Subaru_IR-M2_R_20190820.txt : 4015 days after
- Subaru_IR-M2_R_20190131.txt : 3814 days after
- Subaru_IR-M2_R_20181105.txt : 3727 days after 3th coating on 8/22/2008
- Witness_Sample_IR-M2_R_20080825.txt : 300-2600 nm, measured with U-4001
Reflectivity of the Cassegrain Optical Secondary Mirror (CsOpt-M2)
The Subaru Telescope Cassegrain optical secondary mirror (CsOpt-M2) was coated with Aluminum at the Pilkington Technical Mirror Corp on December 17, 1998.
The following figure shows the reflectivity of the Cassegrain optical secondary mirror.
The reflectivity of CsOpt-M2 immediately after mirror coating is not available.
As a reference, we also plot an Aluminum reflectivity coated in high vacuum measured in air, which is tabulated in "The Optical Properties of Metallic Aluminum", D. Y. Smith, E. Shiles, and Mitio Inokuti, in "Handbook of Optical Constants of Solids", Vol. 1, p. 369-406 (1997).
Plain text data is also available as below.
- Subaru_CsOpt-M2_R_20250915.txt : 9769 days after
- Subaru_CsOpt-M2_R_20241204.txt : 9484 days after
- Subaru_CsOpt-M2_R_20240703.txt : 9330 days after
- Subaru_CsOpt-M2_R_20240315.txt : 9220 days after
- Subaru_CsOpt-M2_R_20230720.txt : 8981 days after
-
Subaru_CsOpt-M2_R_20230119.txt : 8799 days after
-
Subaru_CsOpt-M2_R_20220922.txt : 8680 days after
- Subaru_CsOpt-M2_R_20220118.txt : 8433 days after
- Subaru_CsOpt-M2_R_20210812.txt : 8274 days after
- Subaru_CsOpt-M2_R_20210112.txt : 8062 days after
- Subaru_CsOpt-M2_R_20200715.txt : 7881 days after
- Subaru_CsOpt-M2_R_20200122.txt : 7706 days after
- Subaru_CsOpt-M2_R_20190903.txt : 7565 days after
- Subaru_CsOpt-M2_R_20190130.txt : 7349 days after 1st coating on 12/17/1998
Reflectivity of the Nasmyth Optical Secondary Mirror (NsOpt-M2)
The Subaru Telescope Nasmyth optical secondary mirror (NsOpt-M2) was coated with Aluminum at NAOJ Mitaka campus on August 26, 1999.
The following figure shows the reflectivity of the Nasmyth optical secondary mirror. The reflectivity of NsOpt-M2 immediately after mirror coating is not available.
As a reference, we also plot an Aluminum reflectivity coated in high vacuum measured in air, which is tabulated in "The Optical Properties of Metallic Aluminum", D. Y. Smith, E. Shiles, and Mitio Inokuti, in "Handbook of Optical Constants of Solids", Vol. 1, p. 369-406 (1997).
Plain text data is also available as below.
- Subaru_NsOpt-M2_R_20250915.txt : 9517 days after
- Subaru_NsOpt-M2_R_20241204.txt : 9232 days after
- Subaru_NsOpt-M2_R_20240703.txt : 9078 days after
- Subaru_NsOpt-M2_R_20240315.txt : 8968 days after
- Subaru_NsOpt-M2_R_20230720.txt : 8729 days after
-
Subaru_NsOpt-M2_R_20230119.txt : 8547 days after
-
Subaru_NsOpt-M2_R_20220922.txt : 8428 days after
- Subaru_NsOpt-M2_R_20220118.txt : 8181 days after
- Subaru_NsOpt-M2_R_20210812.txt : 8022 days after
- Subaru_NsOpt-M2_R_20210112.txt : 7810 days after
- Subaru_NsOpt-M2_R_20200715.txt : 7629 days after
- Subaru_NsOpt-M2_R_20200122.txt : 7454 days after
- Subaru_NsOpt-M2_R_20190903.txt : 7313 days after
- Subaru_NsOpt-M2_R_20190130.txt : 7049 days after 1st coating on 8/26/1999
Reflectivity of the Infrared Tertiary Mirror (IR-M3)
The Subaru Telescope infrared tertiary mirror (IR-M3) was recoated with Silver on December 17, 2014.
This was the fourth coating work, and was about five years from the previous recoating on January 26, 2009.
The reflectivity of IR-M3 immediately after mirror recoating in 2014 was measured with a witness sample technique by a Hitach U-4001 spectrophotometer at the Base Facility in Hilo on January 22, 2015.
IR-M3 reflectivity has been measured with SPS-XWW since September 7, 2018.
Plain text data is also available as below.
- Subaru_IR-M3_R_20241226.txt : 3676 days after
- Subaru_IR-M3_R_20240812.txt : 3526 days after
- Subaru_IR-M3_R_20240306.txt : 3367 days after
- Subaru_IR-M3_R_20230713.txt : 3130 days after
- Subaru_IR-M3_R_20230111.txt : 2947 days after
-
Subaru_IR-M3_R_20221006.txt : 2850 days after
-
Subaru_IR-M3_R_20220120.txt : 2605 days after
- Subaru_IR-M3_R_20210812.txt : 2430 days after
- Subaru_IR-M3_R_20210108.txt : 2214 days after
- Subaru_IR-M3_R_20200810.txt : 2063 days after
- Subaru_IR-M3_R_20200224.txt : 1895 days after
- Subaru_IR-M3_R_20191021.txt : 1769 days after
- Subaru_IR-M3_R_20190207.txt : 1513 days after
- Subaru_IR-M3_R_20180907.txt : 1360 days after 4th coating on 12/17/2014
- Witness_Sample_IR-M3_R_20150122.txt
Reflectivity of the Optical Tertiary Mirror (Opt-M3)
The Subaru Telescope optical tertiary mirror (Opt-M3) was recoated with Aluminum on December 16, 2025.
This was the fourth coating work, and was about eleven years from the previous recoating on December 3, 2014.
Opt-M3 reflectivity has been measured with SPS-XWW since February 7, 2019.
Plain text data is also available as below.
-
Subaru_Opt-M3_R_20251217.txt : 1 days after 4th coating on 12/16/2025
-
Subaru_Opt-M3_R_20251212.txt : 4027 days after
- Subaru_Opt-M3_R_20241226.txt : 3676 days after
- Subaru_Opt-M3_R_20240812.txt : 3540 days after
- Subaru_Opt-M3_R_20240306.txt : 3381 days after
- Subaru_Opt-M3_R_20230713.txt : 3144 days after
-
Subaru_Opt-M3_R_20230111.txt : 2961 days after
-
Subaru_Opt-M3_R_20221006.txt : 2864 days after
- Subaru_Opt-M3_R_20220120.txt : 2605 days after
- Subaru_Opt-M3_R_20210812.txt : 2444 days after
- Subaru_Opt-M3_R_20210108.txt : 2228 days after
- Subaru_Opt-M3_R_20200810.txt : 2077 days after
- Subaru_Opt-M3_R_20200224.txt : 1909 days after
- Subaru_Opt-M3_R_20191021.txt : 1783 days after
- Subaru_Opt-M3_R_20190207.txt : 1527 days after 3rd coating on 12/3/2014
- Witness_Sample_Opt-M3_R_20150121.txt
A number of microscope slide glasses/mirror blanks were placed in the vacuum chamber and coated with Aluminum together with the primary mirror to make "witness samples."
The reflectivity of a witness sample for 9th coating was measured with a Hitachi U-4001 spectrophotometer at the Base Facility in Hilo on August 9-10, 2022, and that for 8th coating was measured on December 26, 2017.
The Subaru Telescope optical tertiary mirror (Opt-M3) was recoated with Aluminum on December 3, 2014. This was the third coating work, and was about nine years from the previous recoating on October 5, 2005.
The reflectivity of Opt-M3 immediately after mirror recoating in 2014, whitch was the 3rd coating work, was measured with a witness sample technique by a Hitach U-4001 spectrophotometer at the Base Facility in Hilo on January 21, 2015.
Subaru Portable Spectrophotometer (SPS)
Subaru Portable Spectrophotometer (SPS) is a compact, portable, and powerful reflectivity measuring instrument developed by Subaru Telescope in 2017. SPS can measure the absolute spectral reflectivity of the primary mirror in-situ on the telescope. Its small dimension (450 mm x 310 mm x 370 mm) and light weight (5.9 kg) enable in-situ measurement on the primary mirror. SPS covers the spectral range from 380 nm to 1000 nm with 2 nm resolution. The incident angle to the measuring surface is 12 degrees. The measurement beam size is about 12 mm in diameter. The statistic error is less than 0.2% in rms between 450 nm and 900 nm, and there are less than 0.6% in rms at 380-450 nm and 900-1000 nm ranges. The systematic error is expected to be less than 0.2%.
We wish you will make a same type of measuring instrument and measure the absolute spectral reflectivity of telescopes at your observatory. For your convenience, we will open detailed information of SPS.
SPS-XWW
We have upgraded SPS with eXtra Wide Wavelength (XWW) capability since August, 2018. Now the reflectivity at near infrared between 950 nm and 1650 nm with 10 nm resolution can be measured simultaneously with the original range between 380 nm and 1000 nm.
IR-M2 Jig
To measure the Subaru Telescope infrared secondary mirror (IR-M2), a special jig was designed. By using this jig, we can measure the reflectivity easily, securely, and safely.
CsOpt-M2 and NsOpt-M2 Jig
To measure the Subaru Telescope Cassegrain optical secondary mirror (CsOpt-M2) and the Nasmyth optical secondary mirror (NsOpt-M2), a special jig was also designed.
Opt-M3 and IR-M3 Jig
A special jig to measure the Subaru Telescope optical tertiary mirror (Opt-M3) and the infrared tertiary mirror (IR-M3) was designed and is now under testing.
Citation
- "In-Situ Measurement of the Subaru Telescope primary mirror reflectivity"
Okita, H., Takato, N., and Hayashi, S. S., Proc. SPIE, 10706, 107061U (2018) - "Subaru Portable Spectrophotometer (SPS): in-situ reflectivity measurement for large telescope mirror"
Okita, H., Takato, N., and Hayashi, S. S., J. Astron. Telesc. Instrum. Syst. 5(1), 014002 (2019) - "Reflectivity degradation of the Subaru Telescope primary mirror"
Okita, H., Hayashi, S. S., and Takato, N., PASJ, 71, 32 (2019) - "In-situ monitoring of Subaru Telescope's optical performance using a portable spectrophotometer"
Okita, H., Iwashita, H., Sato, T., Hayashi, S. S., and Takato, N., Proc. SPIE, 11451, 114515J (2020)
Old Information
The followings are old, however these are still valuable. For your information, we continue to show the old information below.
Reflectivity of the Primary Mirror
The re-aluminization of the 8.3 meter primary mirror was conducted in August, 2010. This was the sixth re-coating after the arrival of the mirror at the summit of Mauna Kea in 1998.
A number of microscope slides are placed in the coating chamber when the primary mirror is aluminized. These slides are then brought down to the Base Facility in Hilo, where their reflectivity is measured in the laboratory by a spectrophotometer.
The reflectivity of such samples coated in August 2010 is indicated in the following figure. They should be indicative of the reflectivity of the primary mirror. Degradation of the primary mirror's performance is kept to a minimum by regular CO2 snow cleaning.

Plain text data is also available as M1-2010s.txt.
Current Reflectivity and Scattering of Primary Mirror
The reflectivity and scattering archived data of the primary mirror is monitored with micro-Scan (TMA Technologies, Inc.). The reflectivity and scattering are fairly stable at about 82 % and 80-100 A, respectively, after 400 days from re-coating.

Reflectivity of IR Secondary Mirror
Infrared (IR) secondary mirror was re-coated with only silver in April, 2003. Reflectivity of silver coated the infrared secondary mirror at the wavelength from 300 to 2,500 nm (Kurakami et al. 2004).

Further information
This page was last updated on February 19, 2026.
Questions regarding this page should be directed to Hirofumi Okita (
).




























